Skip to content

atareen/signal_transduction_pathways

Folders and files

NameName
Last commit message
Last commit date

Latest commit

 

History

11 Commits
 
 
 
 
 
 
 
 

Repository files navigation

signal_transduction_pathways

Repository containing code for computing mutual information in noisy signaling pathways.

Comparison of exact and Laplace approximated mutual informations

Figure1

Comparison of exact and Laplace approximated conditional probabilities

Figure2

Maximum mutual information vs. Volume

Figure3

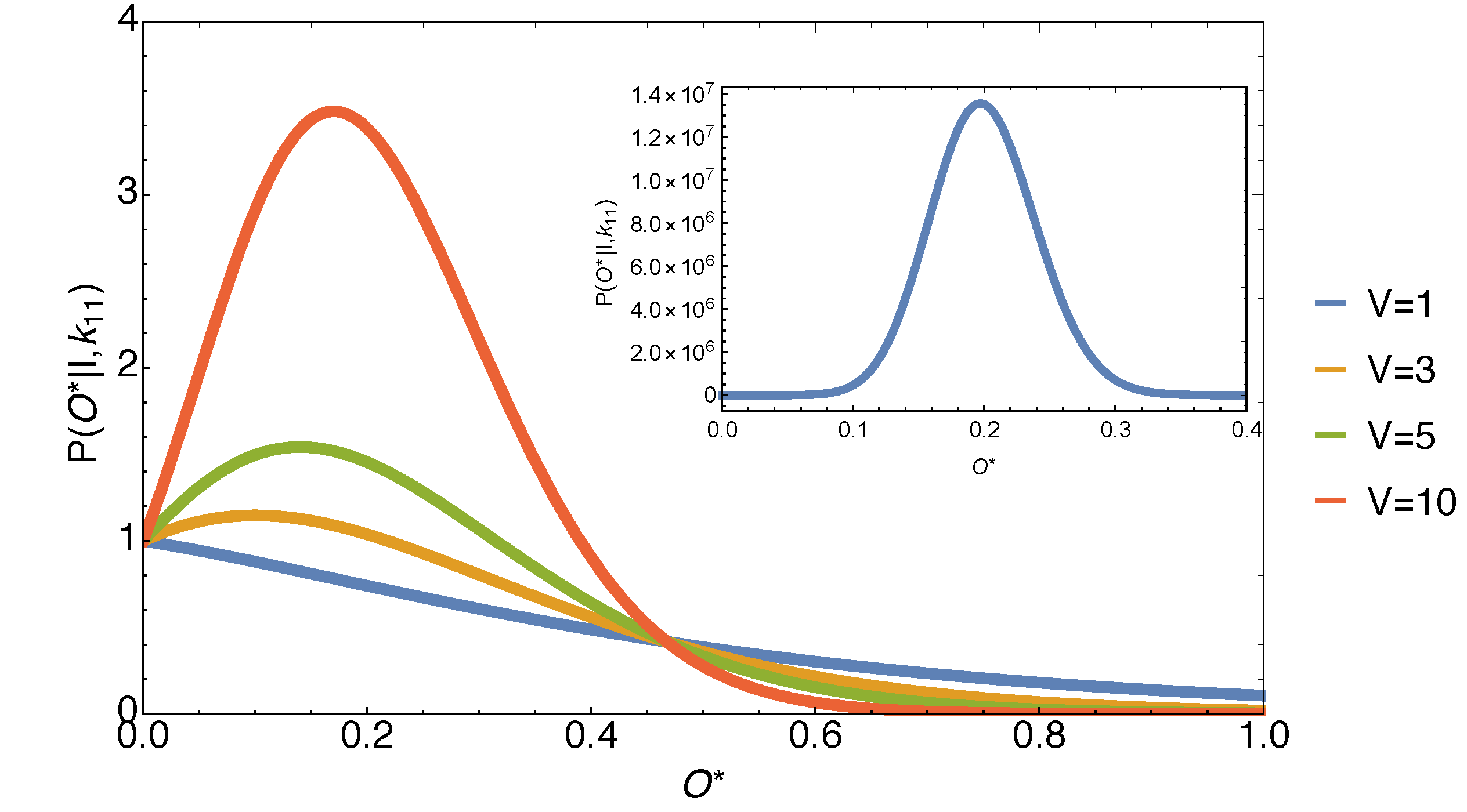
Conditional probabilities for several volumes.

Figure4

About

Computations required for https://doi.org/10.1103/PhysRevE.97.020402 and additional work

Topics

Resources

Stars

Watchers

Forks

Releases

No releases published

Packages

No packages published